| 類別 | 名稱 | 檔案下載 |
|---|---|---|
| 傑出校友 | 第11屆傑出校友(03) | 沈月清 劉國昌 陳桂芬 謝文正 陳炫明 |
| 傑出校友 | 第11屆傑出校友(04) | 林清章 陳清智 簡宗梧 杜忠誥 尤豐彥 |
| 傑出校友 | 第11屆傑出校友(05) | 簡來成 沈福全 陳安雄 陳棋藩 阮晶亮 |
| 傑出校友 | 第11屆傑出校友(06) | 葉建榮 廖大昇 韓文晴 黃耀南 瑞秀〈tama-hide〉政裕 |
| 傑出校友 | 第10屆傑出校友(01) | 楊丙南 張武藤 吳秉勳 洪禎治 余 登 |
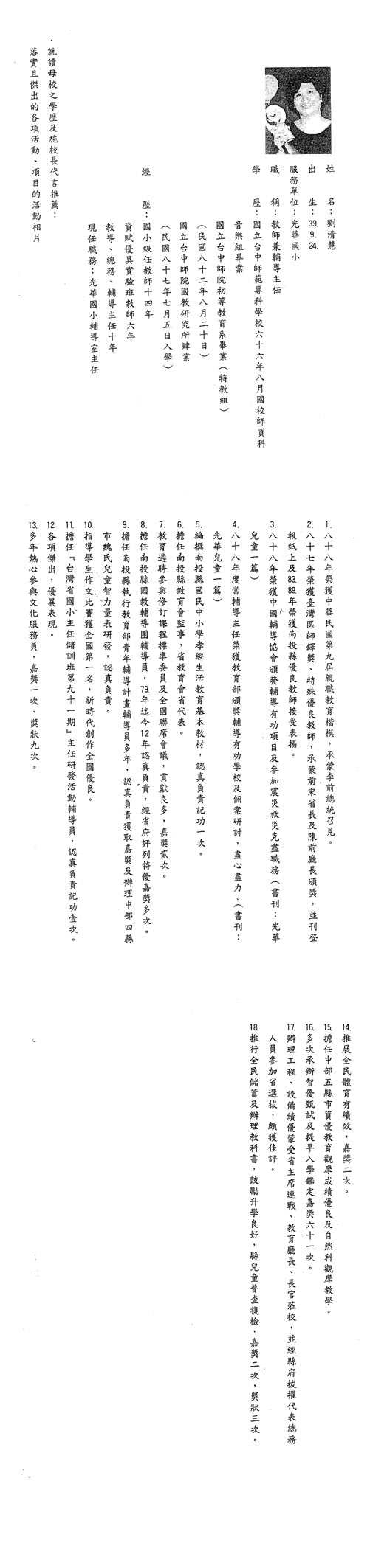
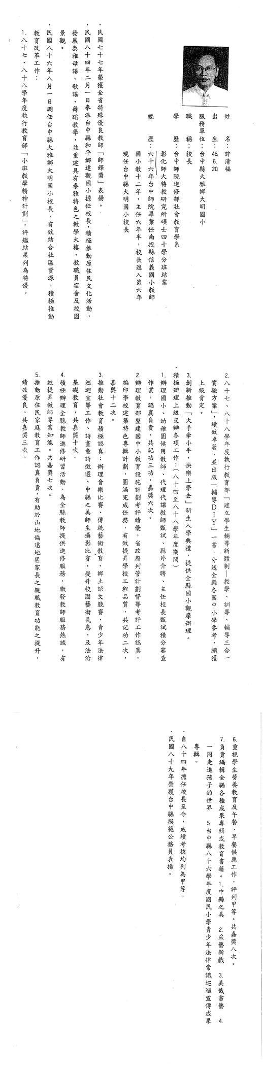
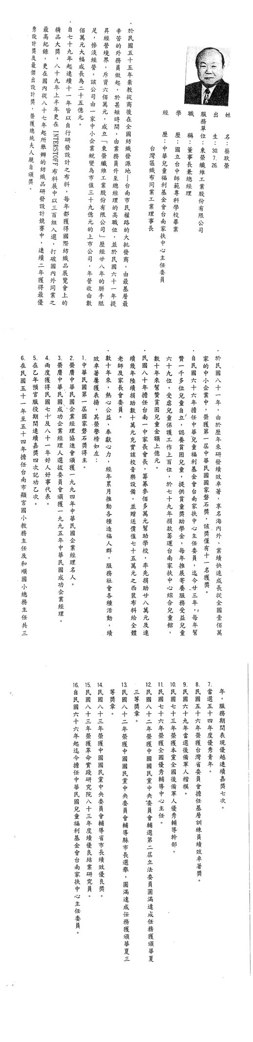
| 傑出校友 | 第10屆傑出校友(02) | 林淑瓊 張耀明 許清福 陳朝松 劉清慧 |
| 傑出校友 | 第10屆傑出校友(03) | 陳文宏 曾得標 陳達郎 曾英三 |
| 傑出校友 | 第10屆傑出校友(04) | 高明士 王鍊登 蔡耿榮 陳坤練 陳傳永 |
| 傑出校友 | 第10屆傑出校友(05) | 林耀鄉 黃春生 黃春生 江永發 |
| 傑出校友 | 第10屆傑出校友(06) | 紀俊乾 謝建秋 吳雄銘 蔡明池 吉田尚一 |
