| 類別 | 名稱 | 檔案下載 |
|---|---|---|
| 傑出校友 | 第13屆傑出校友(04) | 陳日熊 陳正一 高木森 陳樹桐 施慶賢 |
| 傑出校友 | 第13屆傑出校友(05) | 林炳煌 花滿堂 黃新發 郭金池 劉仲成 |
| 傑出校友 | 第13屆傑出校友(06) | 有馬俊彥 羽田岡造 |
| 傑出校友 | 第12屆傑出校友(01) | 林榮男 陳幸一 李高章 曾世仰 江貴美 |
| 傑出校友 | 第12屆傑出校友(02) | 蔡淙裕 陳敬定 張垂璧 陳翠娟 陳聖政 |
| 傑出校友 | 第12屆傑出校友(03) | 周竹輝 賴瓊琦 黎登鑫 余巧芸 陳世昌 |
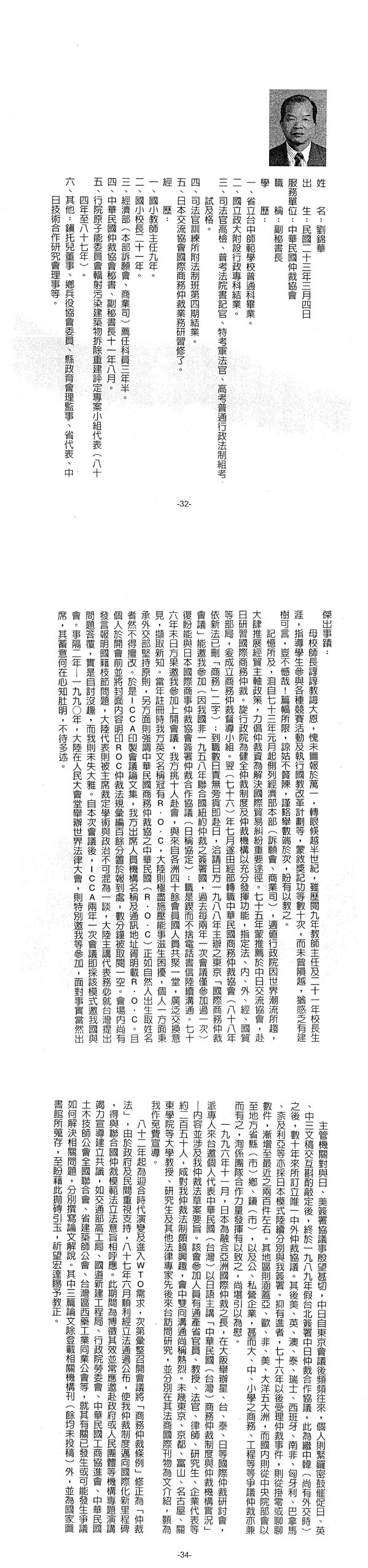
| 傑出校友 | 第12屆傑出校友(04) | 楊子楚 劉錦華 陳辛酉 林富田 施教煌 |
| 傑出校友 | 第12屆傑出校友(05) | 陳恊銓 中村昭治 |
| 傑出校友 | 第11屆傑出校友(01) | 賴樹炎 黃璞珍 黃美菊 林淑惠 劉永泉 |
| 傑出校友 | 第11屆傑出校友(02) | 鍾兆良 方彩雲 張茂欣 傅美芳 黃詩雯 |
